Hoechst Working Solution . The method is relatively insensitive at. dapi and hoechst are popular nuclear counterstains for use in all fluorescent techniques. remove media and add hoechst working solution, diluted using the media of the cells in culture. hoechst 33342, like dapi, can be used to quantitate dna in solution. Add hoechst solution to each. The blue fluorescence is vivid contrast to green, yellow,.
from www.medchemexpress.cn
hoechst 33342, like dapi, can be used to quantitate dna in solution. Add hoechst solution to each. The blue fluorescence is vivid contrast to green, yellow,. dapi and hoechst are popular nuclear counterstains for use in all fluorescent techniques. remove media and add hoechst working solution, diluted using the media of the cells in culture. The method is relatively insensitive at.
Hoechst 33258 (bisBenzimide H 33258) DNA Staining MCE
Hoechst Working Solution dapi and hoechst are popular nuclear counterstains for use in all fluorescent techniques. The method is relatively insensitive at. dapi and hoechst are popular nuclear counterstains for use in all fluorescent techniques. The blue fluorescence is vivid contrast to green, yellow,. hoechst 33342, like dapi, can be used to quantitate dna in solution. Add hoechst solution to each. remove media and add hoechst working solution, diluted using the media of the cells in culture.
From civilworksolu.gumroad.com
Civil work Solution Hoechst Working Solution The method is relatively insensitive at. The blue fluorescence is vivid contrast to green, yellow,. Add hoechst solution to each. hoechst 33342, like dapi, can be used to quantitate dna in solution. remove media and add hoechst working solution, diluted using the media of the cells in culture. dapi and hoechst are popular nuclear counterstains for use. Hoechst Working Solution.
From vyanabiotech.com
2. Hoechst 33342 Staining Solution, 1mg/ml ( 100 times working Hoechst Working Solution remove media and add hoechst working solution, diluted using the media of the cells in culture. The blue fluorescence is vivid contrast to green, yellow,. The method is relatively insensitive at. Add hoechst solution to each. hoechst 33342, like dapi, can be used to quantitate dna in solution. dapi and hoechst are popular nuclear counterstains for use. Hoechst Working Solution.
From www.chemodex.com
Hoechst 33342 solution, 1 mg/ml in water CASNumber 23491523 Hoechst Working Solution Add hoechst solution to each. The method is relatively insensitive at. remove media and add hoechst working solution, diluted using the media of the cells in culture. hoechst 33342, like dapi, can be used to quantitate dna in solution. dapi and hoechst are popular nuclear counterstains for use in all fluorescent techniques. The blue fluorescence is vivid. Hoechst Working Solution.
From www.researchgate.net
Why does my Hoechst 33342 Staining yield extra signals? ResearchGate Hoechst Working Solution Add hoechst solution to each. remove media and add hoechst working solution, diluted using the media of the cells in culture. The method is relatively insensitive at. hoechst 33342, like dapi, can be used to quantitate dna in solution. The blue fluorescence is vivid contrast to green, yellow,. dapi and hoechst are popular nuclear counterstains for use. Hoechst Working Solution.
From www.fishersci.co.uk
Invitrogen™ Hoechst 33342, Trihydrochloride, Trihydrate 10 mg/mL Hoechst Working Solution remove media and add hoechst working solution, diluted using the media of the cells in culture. dapi and hoechst are popular nuclear counterstains for use in all fluorescent techniques. The blue fluorescence is vivid contrast to green, yellow,. Add hoechst solution to each. hoechst 33342, like dapi, can be used to quantitate dna in solution. The method. Hoechst Working Solution.
From www.aatbio.com
Hoechst 33342 *20 mM solution in water* AAT Bioquest Hoechst Working Solution The method is relatively insensitive at. Add hoechst solution to each. remove media and add hoechst working solution, diluted using the media of the cells in culture. The blue fluorescence is vivid contrast to green, yellow,. dapi and hoechst are popular nuclear counterstains for use in all fluorescent techniques. hoechst 33342, like dapi, can be used to. Hoechst Working Solution.
From pubs.rsc.org
RhodamineHoechst positional isomers for highly efficient staining of Hoechst Working Solution The blue fluorescence is vivid contrast to green, yellow,. dapi and hoechst are popular nuclear counterstains for use in all fluorescent techniques. The method is relatively insensitive at. Add hoechst solution to each. hoechst 33342, like dapi, can be used to quantitate dna in solution. remove media and add hoechst working solution, diluted using the media of. Hoechst Working Solution.
From www.youtube.com
PureBlu™ Hoechst 33342 Nuclear Staining Dye for Live Cells A Fast Hoechst Working Solution Add hoechst solution to each. The method is relatively insensitive at. dapi and hoechst are popular nuclear counterstains for use in all fluorescent techniques. The blue fluorescence is vivid contrast to green, yellow,. hoechst 33342, like dapi, can be used to quantitate dna in solution. remove media and add hoechst working solution, diluted using the media of. Hoechst Working Solution.
From www.biocompare.com
Great Hoechst 33342 Solution for Live Cell Staining Hoechst Working Solution The blue fluorescence is vivid contrast to green, yellow,. The method is relatively insensitive at. hoechst 33342, like dapi, can be used to quantitate dna in solution. remove media and add hoechst working solution, diluted using the media of the cells in culture. Add hoechst solution to each. dapi and hoechst are popular nuclear counterstains for use. Hoechst Working Solution.
From www.studocu.com
Ch 6 solutions Home work Solution Review questions 1. Why does Hoechst Working Solution remove media and add hoechst working solution, diluted using the media of the cells in culture. hoechst 33342, like dapi, can be used to quantitate dna in solution. The blue fluorescence is vivid contrast to green, yellow,. dapi and hoechst are popular nuclear counterstains for use in all fluorescent techniques. Add hoechst solution to each. The method. Hoechst Working Solution.
From www.studocu.com
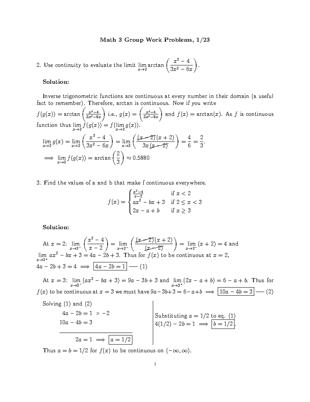
Group Work Solutions 1 18 Math 3 Group Work Problems, 1/ Use Hoechst Working Solution Add hoechst solution to each. dapi and hoechst are popular nuclear counterstains for use in all fluorescent techniques. hoechst 33342, like dapi, can be used to quantitate dna in solution. remove media and add hoechst working solution, diluted using the media of the cells in culture. The blue fluorescence is vivid contrast to green, yellow,. The method. Hoechst Working Solution.
From www.bdbiosciences.com
Hoechst 33342 Solution Hoechst Working Solution The blue fluorescence is vivid contrast to green, yellow,. The method is relatively insensitive at. dapi and hoechst are popular nuclear counterstains for use in all fluorescent techniques. hoechst 33342, like dapi, can be used to quantitate dna in solution. Add hoechst solution to each. remove media and add hoechst working solution, diluted using the media of. Hoechst Working Solution.
From www.bio-techne.com
Hoechst 33342 (5117) BioTechne Hoechst Working Solution remove media and add hoechst working solution, diluted using the media of the cells in culture. The blue fluorescence is vivid contrast to green, yellow,. The method is relatively insensitive at. hoechst 33342, like dapi, can be used to quantitate dna in solution. dapi and hoechst are popular nuclear counterstains for use in all fluorescent techniques. Add. Hoechst Working Solution.
From bits.ie
Microsoft Solutions Partner for Modern Work BITS Hoechst Working Solution The method is relatively insensitive at. hoechst 33342, like dapi, can be used to quantitate dna in solution. remove media and add hoechst working solution, diluted using the media of the cells in culture. Add hoechst solution to each. dapi and hoechst are popular nuclear counterstains for use in all fluorescent techniques. The blue fluorescence is vivid. Hoechst Working Solution.
From www.studocu.com
Group Work Solutions 91718 Group Work Solutions, 9/17/ Problem 1 Hoechst Working Solution Add hoechst solution to each. The method is relatively insensitive at. The blue fluorescence is vivid contrast to green, yellow,. dapi and hoechst are popular nuclear counterstains for use in all fluorescent techniques. remove media and add hoechst working solution, diluted using the media of the cells in culture. hoechst 33342, like dapi, can be used to. Hoechst Working Solution.
From www.stephentucker.net
Solutions to our Technician ShortageStephen Tucker Equipment Management Hoechst Working Solution Add hoechst solution to each. remove media and add hoechst working solution, diluted using the media of the cells in culture. The blue fluorescence is vivid contrast to green, yellow,. The method is relatively insensitive at. dapi and hoechst are popular nuclear counterstains for use in all fluorescent techniques. hoechst 33342, like dapi, can be used to. Hoechst Working Solution.
From www.medchemexpress.cn
Hoechst 33258 (bisBenzimide H 33258) DNA Staining MCE Hoechst Working Solution The blue fluorescence is vivid contrast to green, yellow,. hoechst 33342, like dapi, can be used to quantitate dna in solution. dapi and hoechst are popular nuclear counterstains for use in all fluorescent techniques. Add hoechst solution to each. remove media and add hoechst working solution, diluted using the media of the cells in culture. The method. Hoechst Working Solution.
From www.studocu.com
Chapter+13+Home+work+Solution CHAPTER 13 ASSIGNMENT 1 SUGGESTED Hoechst Working Solution The method is relatively insensitive at. dapi and hoechst are popular nuclear counterstains for use in all fluorescent techniques. The blue fluorescence is vivid contrast to green, yellow,. hoechst 33342, like dapi, can be used to quantitate dna in solution. Add hoechst solution to each. remove media and add hoechst working solution, diluted using the media of. Hoechst Working Solution.